采用双硫腙分光光度法检测污水中总锌的含量,其原理是在pH值为4.0-5.5的乙酸盐缓冲介质中,水中的锌离子与双硫腙形成红色的螯合物。用四氯化碳萃取后,可以在波长535mm处进行比色测定。此方法的测定范围为0.005mg/L~0.05mg/L。如锌的含量不在测定范围内可对样品进行适当的稀释或浓缩。
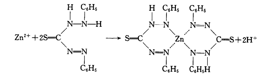
水中总锌检测反应式

检测所用试剂和仪器
检测试剂
1.盐酸1.19g/mL优级纯
2.硝酸1.40g/mL,优级纯
3.高氯酸1.67g/mL,优级纯
4.冰醋酸
5.氨水0.90g/mL,优级纯
6.四氯化碳
7.盐酸:2mol/L
取100mL盐酸用一级纯水稀释到600mL。
8.硝酸溶液(1+9)
将100mL硝酸缓慢加入到900mL一级纯水中。
9.硝酸溶液(0.2+99.8)
将2mL硝酸缓慢加人到998mL一级纯水中。
10.乙酸钠缓冲溶液
将68g三水乙酸钠溶于一级纯水并稀释至250mL,另配制250mL12.5%(V/V)醋酸溶液,将上述两种溶液等体积混合后置于分液漏斗中,用双硫腙储备溶液萃取数次,直至萃取液呈绿色,然后用四氯化碳萃取以除去过量的双硫腙。
11.硫代硫酸钠溶液
将25g硫代硫酸钠溶于水并稀释至100mL,每次用10mL双硫腙四氯化碳溶液萃取,直至双硫腙溶液呈绿色为止,然后用四氯化碳萃取以除去过量的双硫腙。
12.精制双硫腙
称取0.5g双硫腙溶于100mL三氯甲烷中,所得溶液置于分液漏斗中,加50mL1%(V/V)氨水振播,放入水相,重复四次,将所得水相合并,用管颈内塞入一小团脱脂棉花的漏斗过滤,以除去残余三氯甲烷,然后用盐酸或二氧化硫酸化(用二氧化硫酸化为宜,二氧化硫具有还原作用,且不会使溶液引入痕量的金属)。沉淀后的双硫腙,用三氯甲烷萃取数次(每次用15mL-20mL),合并萃取液,用水洗涤数次,于50℃水浴上蒸去三氯甲烷,在干燥器中干燥,保存阴暗处备用。
13.双硫腙储备溶液
取精制双硫腙125mg溶于500mL四氯化碳,并置于棕色试剂瓶中保存在冰箱中。
14.双硫腙溶液0.01%
取40mL双硫腙储备溶液,用四氯化碳稀释到100mL,用时现配。
14. 双硫腙溶液0.001%
15. 取10mL双硫腙溶液,用四氯化碳稀释到100mL,用时现配。
16.柠檬酸钠溶液
称取10g二水柠檬酸钠溶解于90mL水,先用双硫腙储备溶液萃取数次,直至萃取液呈绿色,然后用四氯化碳萃取以除去过量的双硫腙,此试剂用于玻璃器皿的最后洗涤。
17.锌储备溶液100mg/L
准确称取(0.1000±0.0001)g锌粒(纯度99.9%)或称取(0.124 5±0.0001)g氧化锌(光谱纯),溶于5mL盐酸中,移入1000mL容量瓶中,用水稀释至标线。
18.锌标准溶液1.0mg/L
取锌储备溶液10mL于1000mL容量瓶中,用水稀释至标线。
检测所用仪器
1.分光光度计
2.分液漏斗125mL
3.玻璃器皿
具体检测步骤
1.先进行消解
取适量样品,加入5mL硝酸,在电热板上加热蒸发到10mL左右,取下冷却,加5mL硝酸和4mL高氯酸(当样品污染不严重时,可用少量过氧化氢代替高氯酸),继续加热消解,蒸发至近干,用热硝酸溶液溶解,过滤于100mL容量瓶中,并用热水洗涤,冷却后,用盐酸或氨水调节pH值至2-3之间,最后用水稀释至标线。
2.萃取显色
取10mL消解液置于125mL分液漏斗中,加入5mL乙酸钠缓冲溶液和1mL硫代硫酸钠溶液,摇匀,再加入10mL双硫腙储备溶液,摇4min,待分层后,在分液漏斗管颈内塞入一小团脱脂棉花,将双硫腙四氯化碳层放入20mm比色皿中。
3.吸光度测量
以四氯化碳作参比,将萃取液置于535nm波长处测定吸光度。
4.确定锌含量
将样品的吸光度扣除空白试验的吸光度,从工作线上查得锌含量。
绘制工作曲线
在125mL分液漏斗中分别加入锌标准溶液0mL、0.50mL、1.00mL、2.00mL、3.00mL、4.00mL、5.00mL,用水补充到10mL,按检测步骤测得吸光度,绘制吸光度(标准溶液吸光度值扣除零标准吸光度)对锌量的曲线。每分析一批样品需要重新绘制工作曲线。
空白试验
取与水样等量的实验室超纯水,按检测步骤进行操作,用所得吸光度从工作曲线上得空白值,若空白值超过置信区间时应检查原因。
猜您喜欢以下内容:

